Secondary Emission on the 6AU6 Tube

The 6AU6 tube behavior is an excellent example of secondary emission. This tube is typically used in radio equipment. It has three grids. (RCA) Ordinarily, the third grid would be the suppressor grid and eliminate any secondary emission effect. In order to do this, the suppressor grid must be grounded (connected to the cathode). In the 6AU6, grounding the suppressor grid eliminates secondary emission completely, as seen in the plot. I ran this tube under normal heater voltage of 6.3 volts for four different screen potentials, but as a tetrode, rather than a pentode. I accomplished this by connecting the last two grids, the screen grid and the suppressor grid, so that they act together, as one grid.

{short description of image}  This is a diagram of the 6AU6 tube.

Applying extra voltage to the screen amplifies the effect. In order to be able to significantly raise the screen voltage without over powering the tube, I connected batteries across the screen in the opposite direction. This is called a bias, and it works by reducing the amount of current that flows through the screen. Since the power is proportional to both the potential and the current, a large reduction in current reduces the power even if the potential is increased. This allows an increase in the potential both across the screen and the plate. Without bias, the tube cannot survive much more than about 85 volts across the screen.

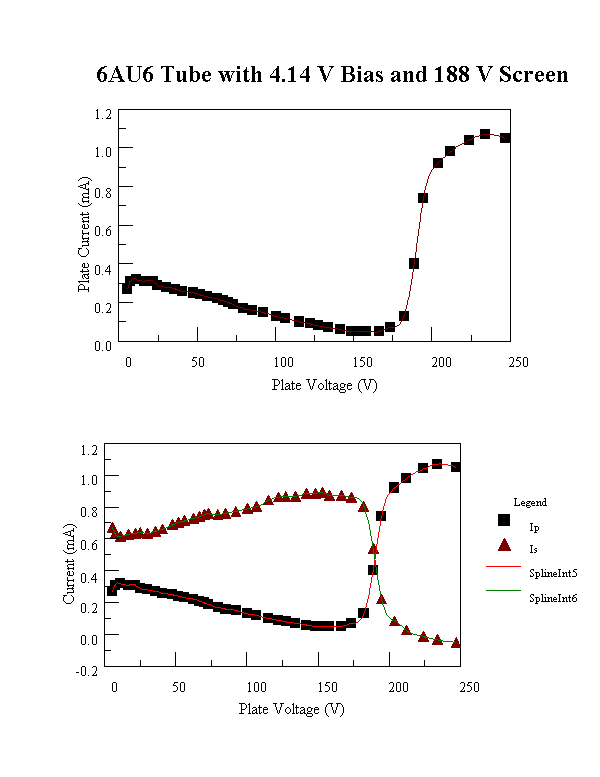
At a plate voltage of only 48 the tube already exhibits secondary emission, as you can see in the graph. The current starts to drop at around 5 volts, and continues to drop until the plate reaches a potential of about 40 volts. In the bottom portion of the graph, the current through the screen is seen to mirror the current through the plate, as the splashed out electrons are pulled back to the screen first and then later sent back to the plate as the field from the plate overcomes the field from the screen grid. The phenomenon becomes more apparent at higher voltages. I was able to observe secondary emission on the 6AU6 without bias at 48 volts on the screen and up to 50 volts on the plate, as well as with 84 volts on the screen and up to 100 volts on the plate. Under these conditions, the secondary emission effect first appeared at a plate potential of around 5 volts. The effect then disappears again when the plate potential passes about 80 volts. Again, the current through the screen follows a pattern mirroring the current through the plate. That trend continues for all of the tubes and will be displayed in the same way below. With a bias of 4.14 volts I was able to place 188 volts potential on the screen and up to 250 volts on the plate. At these conditions the current in the 6AU6 starts to fall off at around 10 volts plate potential and .3 mill-Amps of current. The current begins to rise again as the potential on the plate passes about 175 volts. I was also able to observe secondary emission with a 9.47 volt bias, a potential of 288 volts on the screen grid and up to 400 volts potential on the plate. Even though the effect becomes more pronounced at the higher plate potential, the curve becomes more rough. The reason that the graph starts to look so jumpy is that the current must rise much faster to compensate for the greater drop in comparison to the secondary emission current drop at lower potentials on the plate. The higher the plate voltage, the more pronounced the secondary emission effect.

{short description of image}

This is with no bias, 84 volts on the screen and up to 100 volts on the plate.

{short description of image}

This one is with a bias of 4.14 volts and 188 volts on the screen and up to 250 volts on the plate.

{short description of image}

Finally, this is the effect at 9.47 volt bias, 288 volt screen and up to 400 volts on the plate. The higher the plate voltage, the more pronounced the secondary emission effect.

{short description of image}

Secondary emission on the 6CL6 tube

Secondary emission on the 6146 tube

Secondary emission on the 5763 tube

Back to Secondary Emission page

Back to Front